티스토리 뷰

많은 분들이 관심을 갖고 있는 이편한세상 강동 프레스티지원은 천호 3 구역을 재건축으로 지어지는 아파트입니다. 지난주 더 샾 강동 센트럴시티에 이어 청약 신청 일정을 시작한 e편한세상 강동 분양가와 청약 일정 등에 대해 알아보겠습니다.
이편한세상 강동 프레스티지원 분양 정보 및 분양가
이편한세상 강동 프레스티지원은 천호 3구역 주택재건축 정비사업으로 들어서게 될 아파트입니다. 이편한세상 강동 프레시티지원 또한 강남 옆에 위치했으면서도 비규제지역이기 때문에 더욱 주목을 받고 있습니다.

이편한세상 강동 프레스티지원은 중소형 평형이 많아서 실수요자들에게 더욱 인기가 높을 것으로 보고 있고 한강 공원과 600m 거리고 한강 생활권이라는 점과 천호역과 가까운 역세권이라는 점도 인기가 많은 이유입니다.
🏠 이편한세상 강동 프레스티지원 분양 정보
| 위치 | 서울시 강동구 천호동 423-76 |
| 대지면적 | 19,901.5 ㎡ |
| 규모 | 지하 3층 ~ 지상 25층, 총 5개 동 |
| 총 세대수 | 총 535세대 중 일반분양 263세대 |
| 주차대수 | 668대 (공동주택 665대, 근린생활시설 3대) |
| 입주예정 | 2026년 1월 |
- 강남 4구 중 유일한 비규제지역
- 중소형 평형 위주로 구성되어 실수요자에게 인기
- 한강 공원과 인접하여 한강 생활권을 누릴 수 있음
- 더블 역세권 (5,8호선 천호역)
🏠 이편한세상 강동 프레스티지원 분양가
이편한세상 강동 프레스티지원 분양가는 비슷한 시기에 분양을 하거나 진행한 단지에 비해 분양가가 낮은 편으로 평가됩니다. 더샵 강동센트럴시티는 전용 59㎡의 최저 분양가는 약 9억 9500만 원이었던 반면, 이편한세상 강동 프레시티지원 전용 59㎡는 최저 9억 1150만 원으로 거의 1억 가까이 저렴한 편이라고 할 수 있습니다.
- 인근 분양 단지보다 분양가 저렴하다는 평가


| 타입 | 공급세대수 | 분양가 (최저 ~ 최고) |
| 44 | 17 | 6억 5620만원 ~ 6억 9670만원 |
| 47A | 28 | 6억 8610만원 ~ 7억 2760만원 |
| 47B | 21 | 6억 8070만원 ~ 7억 2880만원 |
| 59A | 4 | 9억 2160만원 ~ 9억 4830만원 |
| 59B | 21 | 9억 1150만원 ~ 9억 8100만원 |
| 59B1 | 10 | 9억 6200만원 ~ 9억 6670만원 |
| 59B2 | 2 | 9억 6200만원 ~ 9억 6200만원 |
| 59C | 22 | 9억 2650만원 ~ 9억 8380만원 |
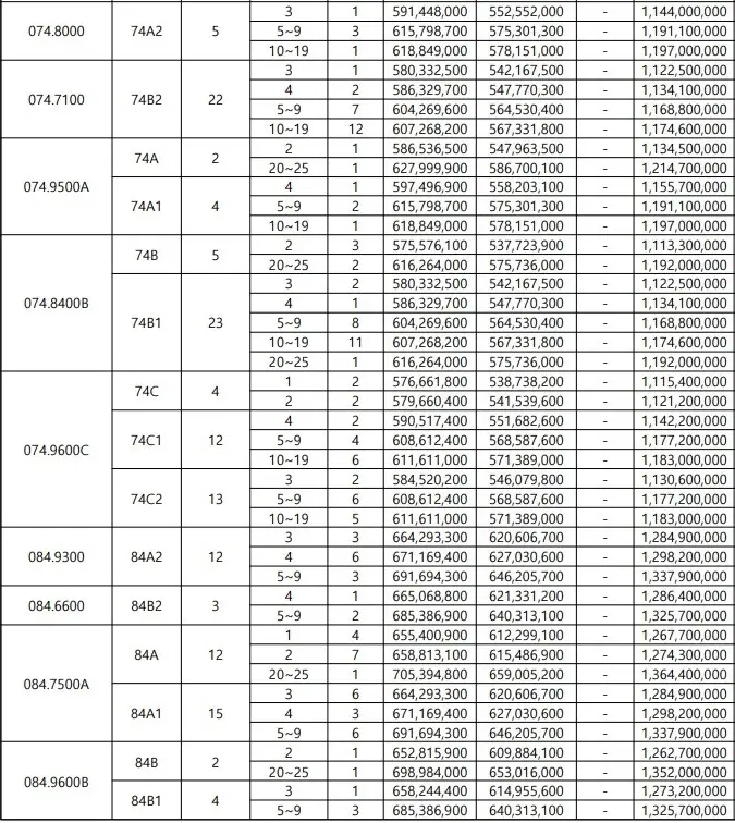
| 74A2 | 5 | 11억4400만원 ~ 11억 9700만원 |
| 74B2 | 22 | 11억2250만원 ~ 11억 7460만원 |
| 74A | 2 | 11억 3450만원 ~ 12억 1470만원 |
| 74A1 | 4 | 11억 5570만원 ~ 11억 9700만원 |
| 74B | 5 | 11억1330만원 ~ 11억 9200만원 |
| 74B1 | 23 | 11억 2250만원 ~ 11억 9200만원 |
| 74C | 4 | 11억 1540만원 ~ 11억 2120만원 |
| 74C1 | 12 | 11억 4220만원 ~ 11억 8300만원 |
| 74C2 | 13 | 11억 3060만원 ~ 11억 8300만원 |
| 84A2 | 12 | 12억 8490만원 ~ 13억 3790만원 |
| 84B2 | 3 | 12억 8640만원 ~ 13억 2570만원 |
| 84A | 12 | 12억 6770만원 ~ 13억 6440만원 |
| 84A1 | 15 | 12억 8490만원 ~ 13억 3790만원 |
| 84B | 2 | 12억 6270만원 ~ 13억 5200만원 |
| 84B1 | 4 | 12억 7320만원 ~ 13억 2570만원 |

이편한세상 강동 프레스티지원 청약 일정

| 입주자 모집공고 | 10월 13일 |
| 특별공급 청약일 | 10월 23일 |
| 일반공급 1순위 청약 | 10월 24일 |
| 일반 2순위 청약 | 10월 25일 |
| 당첨자 발표일 | 11월 2일 |

이편한세상 강동 프레스티지원은 10월 13일 입주자 모집공고를 했습니다. 청약 자격은 모두 입주자 모집공고일로 기준합니다.
일반공급 1순위는 10월 24일부터 청약 신청을 받습니다. 아침 9시부터 17시 30분까지 청약홈에서 청약 신청할 수 있습니다. 당첨자 발표일은 11월 2일입니다.
e편한세상 강동 프레스티지원 청약 신청하기
e편한세상 강동 프레스티지원 청약은 한국부동산원 청약홈에서만 청약 신청을 받고 있습니다. 모바일 애플리케이션 또는 청약홈 홈페이지에 접속해서 청약신청하는 방법은 아래와 같습니다.
1. 한국부동산원 청약홈 공식 홈페이지 바로가기
2. 청약신청 APT를 클릭합니다.
3. 주택선택 (e편한세상 강동 프레스티지원) 및 유의사항 확인하기
4. 주택형 선택 및 행정정보 자동조회 신청 (선택사항)
5. 청약 신청 및 자격, 내역 확인
6. 청약신청 완료
e편한세상 강동 프레스티지원 청약 체크포인트
1. 만 19세 이상 세대주 및 세대원 모두 청약 가능
2. 서울특별시, 경기도, 인천광역시 거주자
3. 청약통장 가입기간 12개월 이상,
4. 청약 통장 예치금 충족 (전용 85 ㎡이하)
- 서울 - 300만원
- 인천 - 250만원
- 경기 - 200만원
5. 유주택자도 1순위 청약 가능
6. 비규제지역, 전매제한 1년 (당첨일로부터)
7. 재당첨제한 및 실거주 의무 없음
8. 중소형 위주의 평형: 청년부터 신혼부부 등 실수요자들이 선호하는 중소형 평형 분양
9. 추첨제 물량 60%: 청약 가점이 낮은 세대에게도 기회가 열려 있습니다.

e편한세상 강동프레스티지원 입지환경

✔ 더블 역세권과 직주근접 광역 교통망
- 5, 8호선 천호역 도보 10분 거리 위치 - 올림픽대로, 강변북로, 강일 IC(외곽순환) 인접으로 잠실, 강남 등 서울 전역 및 수도권 주요 업무지구 출퇴근 편리
✔ 단지 안과 밖에서 누리는 생활 인프라
- 천호 중심상권을 비롯 이마트, 현대백화점, 롯데시네마 등 다양한 생활편의시설 인접 - 실내 스크린 골프연습장, 개인오피스 등 다양한 고급 커뮤니티 시설
✔ 한강 생활권으로 남다른 가치 지닌 주거 환경
단지 바로 옆 천호공원과 한강공원(약600m)을도보로 누리는 한강생활권(일부세대 조망가능) - 천호 재정비촉진지구(천호뉴타운)등 정비사업 활성화로 천호동 신흥 주거타운 형성

✔ 한강의 스카이라인과 함께 새로워질 천호동
천호 재정비촉진지구, 이른바 '천호뉴타운'의 정비 사업이 활발하게 이루어지고 있어 강동의 새로운 주거타운의 중심이 됩니다.
✔ 8호선 별내선 연장 개통('24년 예정)으로 천호동의 미래가치가 더욱 올라갑니다.
e편한세상 강동 프레스티지원 단지 및 평면도
평면도
59B형

84A1형

다른 평형의 평면도를 e편한세상 강동 프레스티지원 홈페이지에서 확인할 수 있습니다.
⬇⬇⬇
단지 배치도





사이버 견본주택
견본주택을 인터넷에서 실감 나게 볼 수 있습니다. 아래의 버튼을 누르면 e편한세상 강동 프레스티지원 홈페이지로 이동합니다.
e편한세상 강동 프레스티지원 사이버 모델하우스 보러가기
⬇⬇⬇
관련 영상
대한민국 No.1 아파트 e편한세상 강동 프레스티지원 - 사이버 주택전시관 상세보기(5)
대한민국 No.1 아파트 e편한세상 - 사이버 주택전시관
www.elife.co.kr
'정보' 카테고리의 다른 글
| 주휴수당 계산법 지급조건 계산기로 바로 확인하기 (0) | 2023.10.31 |
|---|---|
| 컨텍 공모주 수요예측 공모가 청약 일정 상장 주관사 (0) | 2023.10.28 |
| 큐로셀 공모주 상장 일정 수요예측 주관사 (0) | 2023.10.25 |
| 넷플릭스 결제카드 결제수단 변경방법 바로가기 (0) | 2023.10.25 |
| 신한카드 결제일별 사용기간 및 결제일 변경 방법 (0) | 2023.10.20 |
| 브롬 관련주 BEST 10, 이스라엘 전량 수입 (한창산업 제이아이테크··) (0) | 2023.10.19 |
| 더샵 강동센트럴시티 아파트 분양가 청약일정 평면도 모델하우스 (0) | 2023.10.16 |
| 앱테크 앱추천 - 포인트포토 (사진찍고 무료로 커피마셔요) (0) | 2023.10.13 |